学院新闻
贺灿飞、朱晟君团队在《Nature Cities》发文揭示中国城市间人员交流对缓解水污染的有效作用
发布时间:2025-01-14香港六合彩开奖直播

在区域发展不平衡的背景下,如何促进先进经验向落后地区传播一直是学术界和政策制定者关注的重点问题。传统观点认为,可以通过政策移植的方式,将成功地区的政策复制到其他地区。然而,一项刚刚发表在Nature Cities上的研究却表明,在环境治理这样复杂的领域,缄默知识(tacit knowledge)的传播才是关键,而这种知识需要通过人员交流才能有效传递。
实证研究的关键发现
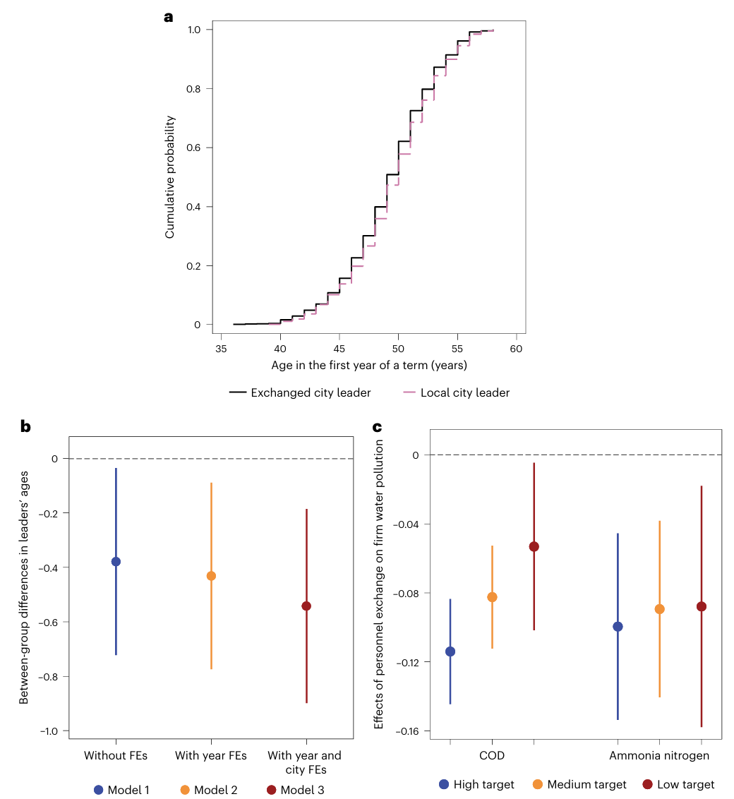
该研究对2006-2013年间中国城市的环境治理进行了系统研究。通过分析城市领导人简历、企业行为、专利数据和政策文本等大规模微观数据,研究发现城市间的官员交流产生了显著的治理效果。在企业层面,城市间官员交流能够降低8.66%的化学需氧量(COD),15.26%的氨氮排放,以及4.78%的废水排放。这些减排成效分别贡献了全国水污染总减排的39.45%、42.57%和57.98%。
相比之下,研究发现单纯的政策移植效果有限。即使是在配合人员交流的情况下,政策移植带来的减排效果也仅为10.51%、21.55%和7.17%。这一发现凸显了缄默知识在环境治理中的重要作用。

图1. 城市官员城际交流对企业水污染的影响

图2. 城际人员交流和政策移植对三种水污染的影响
缄默知识传播的三重机制
研究团队认为,关键原因在于环境治理涉及大量难以用文字传递的"缄默知识"。这些知识包括如何根据本地特点调整政策、如何有效推进政策落地、如何协调各方利益关系等。由于不同城市的经济结构、环境问题特点和利益相关方构成都存在差异,简单的政策移植往往难以适应本地的具体情况。

图3. 作用机制(1):经验传播
通过深入分析,官员交流促进缄默知识传播的机制主要体现在三个方面:首先是治理经验的直接传播,研究数据显示,具备环保部门任职经历的,或从环境治理先发地调任到后发地的交流官员,在减污方面的效果更加显著。其次是促进城市间的合作,数据显示交流后的城市间绿色产业投资增加了9.31%,高科技企业投资增长了5.10%,专利合作增加了4.03%。第三是推行新的产业政策,交流官员更倾向于制定新的产业政策,对绿色产业的税收减免力度比其他产业高出30.05%。

图4. 作用机制(2)、(3):促进城市间合作和推行新的产业政策
官员的激励机制
研究还探讨了为什么交流官员能够更有效地推动环境治理。数据显示,交流的官员比本地官员普遍更加年轻,有更强的晋升动力,因此他们对中央设定的污染减排目标反应更为积极,特别是在面临较高减排要求的城市,交流官员相比本地官员表现出更强的治理效果。

图5. 交流官员的治理动机
更广泛的推广前景
研究团队进一步通过模拟分析发现,如果能把官员交流的制度推广到更多地区,水污染治理还有更大的潜力可以挖掘。模拟结果显示,扩大交流范围可以使COD额外减少3.32百万吨(占全国总量9.77%),氨氮额外减少0.32百万吨(占全国总量13.13%),废水额外减少1.17十亿吨(占全国总量6.28%)。

表1. 三种情景模拟下的水污染减排变化
对区域发展的深刻启示
这项研究对我们理解全球化和区域发展具有重要启示,复杂的治理经验需要通过人员流动才能有效传播,这意味着区域发展需要更多的人才交流机制。
具体而言,要促进区域均衡发展,需要建立更系统的人才交流机制,特别要重视跨区域、跨省份的人员流动。同时,要关注交流人员的专业背景匹配,为交流人员创造良好的工作环境,使其能够充分发挥经验传播和创新的作用。
"在追求区域均衡发展的过程中,除了政策支持,更要重视人才交流,真正实现经验的有效传播与吸收。"正如研究团队所强调的,环境治理远不止于政策条例式地执行,某些关键的治理经验是无法通过简单复制获得的。这一发现不仅适用于环境治理,对其他领域的区域发展也具有重要的借鉴意义。
该研究成果以“Intercity personnel exchange is more effective than policy transplantation at reducing water pollution”为题于2025年1月2日在线发表于Nature Cities期刊上。北京大学2020级直博生刘子亮和朱晟君研究员为论文共同第一作者,贺灿飞教授和朱晟君研究员为通讯作者。
论文链接(点击阅读原文查看):